Centrifugal pump Net Positive Suction Head Available Calculation

 Centrifugal pump Net Positive Suction Head Available Calculation

System data

  • Q = 1000 gpm
  • 8 in diameter, 25 ft long aluminium suction line
  • (Hazen - Williams C = 135)
  • Water temperature = 65℉
  • Water level remains constant during pumping
  • Elevation is 1000 ft above sea level

Centrifugal pump Net Positive Suction Head Available Calculation

NPSHa - Net Positive Suction Head Available

We have to calculate Barometric pressure




K1 = Constant = BP in m of water if h in ft
K1 = 33.89 and 
K2 = 1.69 * 10⁻⁸
h = 1000

BP = 33.89-1.17*103 *1000+1.69*108 *10002
        = 32.74 ft
VPw = 0.72 ft ( Standard)
 
Head in NPSHa


NPSHa - Net Positive Suction Head Available 2






Velocity head in NPSHa formula







K = Unit constant = 385.9 for Ft; 435.7 for meter; 
M1S = 
For Reducer K = 0.3
For Elbow K=1.2
For foot valve K = 5.5
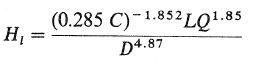
D = 8 in
Q = 1000 gpmb  
SL = 25 ft
DD = 0 ft

NPSHa = 32.74-0.72-0.48-5.06-25
= 1.49ft

NPSHa = 5.06 ft

Thanks for reading - Centrifugal pump Net Positive Suction Head Available Calculation
Naitik Patel
Industrial Guide

Share this blog with your friends from here 👇

Translate